Improving operational efficiency, managing materials costs, and delivering consistent, high-performing concrete mixes are the priorities that drive most decisions in a ready mix operation.
Decarbonization becomes part of that conversation when it reinforces those same goals. If a technology helps reduce cement usage or strengthen a producer’s competitive position, it earns consideration because it supports the business first and the carbon benefit second.
CO₂ mineralization in fresh concrete fits that profile. It reduces carbon intensity through reliable 3-5% cement savings, maintains strength and performance, and integrates with existing batching systems without changing how a plant runs.
Producers gain immediate operational and cost benefits, and they can also offer mixes with measured and verified CO₂ reductions when customers request lower-carbon options.
With hundreds of plants using CarbonCure’s technologies across two dozen countries and a global dataset covering more than 300 binder systems, CO₂ mineralization is a practical, proven solution. It gives producers a straightforward way to improve efficiency and manage costs, while also delivering environmental value that is increasingly expected in many markets.

Why CO₂ Mineralization Matters for Producers Right Now
Concrete may be the world’s most widely used material after water, but its key ingredient—cement—also carries a huge carbon burden. Cement production accounts for roughly 7% of global CO₂ emissions. Cement also comes with a significant price tag.
While the industry has made cement efficiency gains through clinker substitution, switching to low carbon fuels, CO₂ capture and storage, and increased SCM usage, the reality is that the world needs engineered, scalable and economically-viable solutions that can accelerate decarbonization today without sweeping, disruptive changes in materials, operations, codes or infrastructure.
One of the few solutions already delivering measurable results at global scale is CO₂ mineralization in fresh concrete. This simple but powerful reaction is what enables measurable cement reduction without sacrificing performance.
To date, the technology has been used in more than 10 million truckloads and prevented or mineralized more than 700,000 metric tons of CO₂ and the pace continues to accelerate as more regions adopt it.

What Happens When CO₂ is Injected into Fresh Concrete
CarbonCure’s system integrates into existing batching workflows with two hardware enclosures: one that connects to an on-site supply of captured CO₂ and one that interfaces with the batch computer for dosing control, monitoring and data collection.
During batching, CO₂ is injected through a patented dosing system. A controlled pressure drop converts liquid CO₂ into a mixture of gas and CO₂ “snow.” This dual-phase injection is essential:
- Gas fills the mixer volume and enables surface carbonation.
- Snow dissolves in the fresh concrete mass, enabling deeper and faster reaction.
This approach minimizes CO₂ loss and promotes rapid, efficient mineralization, resulting in over 90% of the injected CO₂ forming solid carbonates.

Inside the mix, the chemistry happens quickly:
- Early hydration releases calcium and silicate ions
- Dissolved CO₂ forms carbonate ions
- Calcium and carbonate ions combine to form nano-scale calcium carbonate (CaCO₃)
- Co-formation of C-S-H gel with a reduced Ca content
These particles form immediately and uniformly, embedding within the developing microstructure as hydration continues.
How CO₂ Mineralization Improves Cement Efficiency
The formation of nano-CaCO₃ inside the fresh mix triggers a series of well-documented effects that directly support cement reduction without compromising performance. This includes:
1. Nucleation Effect
CO₂ mineralization forms CaCO₃ nucleation sites. The new calcite crystals speed up hydration and promote early C-S-H formation, delivering equivalent strength with less cement. Read the research paper.
2. Clinker Dissolution Effect
As CO₂ consumes Ca² (calcium) from solution, more clinker dissolves to restore equilibrium, significantly increasing the degree of hydration and cement efficiency. Read the research paper.
3. Dispersion Effect
In-situ CaCO₃ nanoparticles from CO₂ mineralization disperse uniformly in the cement matrix, avoiding the agglomeration seen with ex-situ additions. Read the research paper.
4. Pore and Volume Structure
CaCO₃ nanoparticles fill microvoids, reducing porosity and refining pore structure to lower permeability and improve durability. Read the research paper.
5. C-S-H Composition
At early ages, CO₂ mineralization occurs alongside normal C-S-H gel formation, producing nano-calcite that integrates into the developing matrix.The gel has a reduced Ca/Si and improved nanomechanical properties. Read the research paper.
6. Carboaluminate Formation
In-situ calcite reacts with aluminates to form stable carboaluminates (e.g., monocarboaluminate). This reaction increases solid volume and helps stabilize ettringite, which contributes to microstructural densification and dimensional stability. Read the research paper.
These combined effects improve the concrete performance and unlock the consistent ability to remove 3-5% cement or more while maintaining equivalent 28-day strength.

How CarbonCure Ensures Producer Success with CO₂ Mineralization
Because cement chemistries, SCM blends and admixtures vary widely across regions, CarbonCure developed a standardized global Customer Lab protocol to ensure predictable, validated performance for every producer. This process reduces risk and provides an evidence-based foundation before any equipment is installed.
The protocol follows three stages:
1. Cement Screening
Each cement is evaluated using isothermal calorimetry (ASTM C1679) and FTIR analysis to confirm reactivity with CO₂ and identify optimal dosage ranges.
2. Full Batching and Testing with Producer Materials
Concrete is batched using the producer’s aggregates, SCMs, admixtures and mix designs. Multiple CO₂ dosages are tested, and fresh and hardened properties are measured at 7, 14 and 28 days.
3. Validation and Optimization Report
The final report outlines the recommended CO₂ dosage, expected cement reduction, QC considerations and commissioning guidance, ensuring producers enter implementation with high confidence.
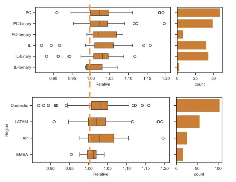
What Testing on 300+ Binder Systems Tell Us
CarbonCure has tested more than 300 binder systems since our Customer Lab validation initiative launched in 2023. Testing includes ASTM, CEM, CP and composite cement families, alongside a wide range of SCM combinations including fly ash, GGBFS, limestone, silica fume and blends.
In more than 95% of the mixes, we identify a performance-enhancing CO₂ dose that achieves 28-day strength equivalence at a 4% cement reduction—allowing producers to move forward without unnecessary trial time or cost.

CO₂ mineralization is a mature, field-proven technology that strengthens both the operational and financial performance of ready mix plants. Producers adopt it because it delivers value in several clear ways:
- No disruption to operations as the system integrates with existing batching, QC and mix workflows
- Shared revenue from verified CO₂ reductions, processed and sold by CarbonCure as high-integrity, high-value carbon credits
- Confidence backed by data from hundreds of plants and more than 300 validated binder systems worldwide
Together, these advantages give producers a practical, profitable path to improve cement efficiency, improve margins and strengthen their competitive position, while also meeting the growing demand for lower-carbon concrete across many markets.
For more technical details, published papers and supplementary datasets, visit the CarbonCure Resource Library.
The post CO₂ Mineralization in Fresh Concrete and What It Means for Producers appeared first on CarbonCure Technologies Inc..














